emu5.de

Damals war es Triathlon. Heute ist es Emu5.de
Aktuelle Zeit: 01 Apr 2026 23:43

Alle Zeiten sind UTC + 1 Stunde [ Sommerzeit ]




Ein neues Thema erstellen Auf das Thema antworten  [ 432 Beiträge ]  Gehe zu Seite Vorherige  1 ... 15, 16, 17, 18, 19, 20, 21 ... 29  Nächste
Autor Nachricht
 Betreff des Beitrags: Re: Der Mathe-Thread
BeitragVerfasst: 24 Mär 2022 09:35 
Offline
Admin-Emu
Benutzeravatar

Registriert: 21 Jun 2004 12:00
Beiträge: 23569
HansM hat geschrieben:
https://www.spektrum.de/kolumne/uneindeutige-dezimaldarstellung-ist-0-999-gleich-1/1996561?utm_source=pocket-newtab-global-de-DE

Da steht:

"Man hat damit eine eindeutige Lücke auf dem Zahlenstrahl lokalisiert."

Also ich halte diese Aussage für falsch. Es gibt keine "eindeutige" Lücke, also kein "eindeutig" in der Nomenklatur der Mathematik. Die Lücke ist unendlich klein und damit nicht existent, würde ich jetzt sagen.

Was denkt ihr ?


Das mit dem 1/3 x 3 = 1 kenne ich noch aus dem Fach Zahlentheorie. Da macht man solche Sachen.

Spontan hätte ich geantwortet, dass es auf die Betrachtungsweise angkommt. In der Analysis, wo der Begriff Grenzwert allgegenwärtig ist, würde ich sagen, dass 0.9999999 gleich 1 ist.
Aus der Zahlentheorie heraus würde ich das Gegenteil sagen, also 0.999999999 != 1.

Ich muss bei Gelegenheit mal meinen Chef fragen. Er ist Dr. Math. und hat in diesem Umfeld (Es gibt eine unendliche Anzahl Mengen unendlicher Mengen) seinen Doktorarbeit geschrieben.

_________________
Die Muße ist die Schwester der Freiheit.
https://sifiman.kkessler.de


Nach oben
 Profil  
 
 Betreff des Beitrags: Re: Der Mathe-Thread
BeitragVerfasst: 28 Mär 2022 20:46 
Offline
Admin-Emu
Benutzeravatar

Registriert: 21 Jun 2004 12:00
Beiträge: 23569
Wer kann´s? :bein-godik


Dateianhänge:
0.13.1+2.jpg
0.13.1+2.jpg [ 17.85 KiB | 9920-mal betrachtet ]

_________________
Die Muße ist die Schwester der Freiheit.
https://sifiman.kkessler.de
Nach oben
 Profil  
 
 Betreff des Beitrags: Re: Der Mathe-Thread
BeitragVerfasst: 28 Mär 2022 22:04 
Offline
Die Emu-Maus
Benutzeravatar

Registriert: 14 Jun 2010 08:56
Beiträge: 9169
Wohnort: Mainspitze
Hui, ist das lange her.


Wenn es für n gilt, so ist zu zeigen, dass es auch für n+1 gilt, damit der Ausdruck richtig ist .....
Dazu n+1 einsetzen (auf beiden Seiten) und morgen dann auflösen.... ;)

:tomtiger

_________________
Leidenschaft meistert jede Krise. Est-ce qu'il sont fous, les français?
aktuell 2023 - und Spaß
und was davor geschah... runningmaus 2012: Kopf hoch!


Nach oben
 Profil  
 
 Betreff des Beitrags: Re: Der Mathe-Thread
BeitragVerfasst: 29 Mär 2022 15:15 
Offline
Capoeira Emu
Benutzeravatar

Registriert: 19 Feb 2006 12:00
Beiträge: 9144
keko hat geschrieben:
Wer kann´s? :bein-godik

Ich ... :blue
versteckter Inhalt:
Wo ist das LaTeX-tool ... ? :???:

:newwer


Nach oben
 Profil  
 
 Betreff des Beitrags: Re: Der Mathe-Thread
BeitragVerfasst: 29 Mär 2022 17:28 
Offline
Admin-Emu
Benutzeravatar

Registriert: 21 Jun 2004 12:00
Beiträge: 23569
Mein unglaubliches Talent spricht sich wohl rum. Demnächst helfe ich einer Kursstufe an einem anderen Gymnasium. :cheer

_________________
Die Muße ist die Schwester der Freiheit.
https://sifiman.kkessler.de


Nach oben
 Profil  
 
 Betreff des Beitrags: Re: Der Mathe-Thread
BeitragVerfasst: 29 Mär 2022 19:08 
Offline
Die Emu-Maus
Benutzeravatar

Registriert: 14 Jun 2010 08:56
Beiträge: 9169
Wohnort: Mainspitze
0.13.2

Dateianhang:
0.13.2-induktion.JPG
0.13.2-induktion.JPG [ 56.25 KiB | 9874-mal betrachtet ]

_________________
Leidenschaft meistert jede Krise. Est-ce qu'il sont fous, les français?
aktuell 2023 - und Spaß
und was davor geschah... runningmaus 2012: Kopf hoch!


Nach oben
 Profil  
 
 Betreff des Beitrags: Re: Der Mathe-Thread
BeitragVerfasst: 30 Mär 2022 10:03 
Offline
Admin-Emu
Benutzeravatar

Registriert: 21 Jun 2004 12:00
Beiträge: 23569
runningmaus hat geschrieben:
0.13.2

Dateianhang:
Der Dateianhang 0.13.2-induktion.JPG existiert nicht mehr.


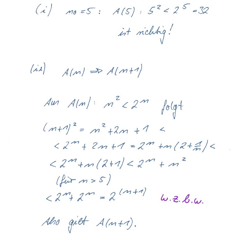
Hast du das gemacht oder gibt es das im Internet? :oops:

Hier ist meine Lösung:


Dateianhänge:
2022-03-30.jpg
2022-03-30.jpg [ 40.41 KiB | 9853-mal betrachtet ]

_________________
Die Muße ist die Schwester der Freiheit.
https://sifiman.kkessler.de
Nach oben
 Profil  
 
 Betreff des Beitrags: Re: Der Mathe-Thread
BeitragVerfasst: 30 Mär 2022 13:22 
Offline
Die Emu-Maus
Benutzeravatar

Registriert: 14 Jun 2010 08:56
Beiträge: 9169
Wohnort: Mainspitze
Das gibt es im internet.... :censored

meine Beweisfähigkeiten waren doch mehr eingerostet, als ich dachte.... :lol:

früher mochte ich das, und konnte es auch ordentlich...

_________________
Leidenschaft meistert jede Krise. Est-ce qu'il sont fous, les français?
aktuell 2023 - und Spaß
und was davor geschah... runningmaus 2012: Kopf hoch!


Nach oben
 Profil  
 
 Betreff des Beitrags: Re: Der Mathe-Thread
BeitragVerfasst: 30 Mär 2022 20:09 
Offline
Admin-Emu
Benutzeravatar

Registriert: 21 Jun 2004 12:00
Beiträge: 23569
runningmaus hat geschrieben:
Das gibt es im internet.... :censored

meine Beweisfähigkeiten waren doch mehr eingerostet, als ich dachte.... :lol:

früher mochte ich das, und konnte es auch ordentlich...


Ich mache das auch sehr gerne. Je abstrakter und formaler, desto lieber ist es mir.
Die Aufgabe stammt aus einer Mathe-Vorlesung von vor 30 Jahren. Ich habe sie kürzlich mit einem Studenten gemacht. Ist dann wohl eine Standard-Aufgabe, wenn man sie im Internet findet :keko

_________________
Die Muße ist die Schwester der Freiheit.
https://sifiman.kkessler.de


Nach oben
 Profil  
 
 Betreff des Beitrags: Re: Der Mathe-Thread
BeitragVerfasst: 31 Mär 2022 09:50 
Offline
Die Emu-Maus
Benutzeravatar

Registriert: 14 Jun 2010 08:56
Beiträge: 9169
Wohnort: Mainspitze
also, diese eine Aufgabe hatte ich gefunden, ...
die andere noch nicht gesucht.... ;)

Leider ergab mein erster Versuch, es aufzulösen, daß die andere nicht stimmt! :roll:
... und dann hatte ich was anderes vor... :lol:
:blush

_________________
Leidenschaft meistert jede Krise. Est-ce qu'il sont fous, les français?
aktuell 2023 - und Spaß
und was davor geschah... runningmaus 2012: Kopf hoch!


Nach oben
 Profil  
 
 Betreff des Beitrags: Re: Der Mathe-Thread
BeitragVerfasst: 02 Apr 2022 22:40 
Offline
Admin-Emu
Benutzeravatar

Registriert: 21 Jun 2004 12:00
Beiträge: 23569
Ich habe mich heute an der Dualen Hochschule in Stuttgart als Lehrbeauftragter beworben. Ein Student erzählte mir kürzlich, dass sie immer "irgendwelche Leute" suchen und da fühlte ich mich direkt angesprochen. :laugh: Beworben habe ich mich für Mathematik (Ana+LA) und Programmierung (C#/.Net). Vorher hatte ich eine mir sehr nahestehenden Person um Rat gefragt, die spontan meinte - ohne dass sie versteht, um was es da genau geht - dass ich das machen könnte. Da ich ihr in solchen Dingen blind vertrauen kann, war das der Startschuß :apanasana

_________________
Die Muße ist die Schwester der Freiheit.
https://sifiman.kkessler.de


Nach oben
 Profil  
 
 Betreff des Beitrags: Re: Der Mathe-Thread
BeitragVerfasst: 02 Apr 2022 23:50 
Offline
Das Jever-Emu
Benutzeravatar

Registriert: 27 Apr 2005 12:00
Beiträge: 11735
Wohnort: In de Hel van Kasterlee
Reduzierst du für deine neuen Tätigkeiten die deinem Arbeitgeber vertraglich geschuldete Zeit? Ich meine, sonst bleibt ja irgendwann das Wölkchen beobachten auf der Strecke ;).

_________________
Die meisten Radwegbeschilderungen wurden von Aliens erschaffen.
Sie wollen erforschen, wie Menschen in absurden Situationen reagieren.


Nach oben
 Profil  
 
 Betreff des Beitrags: Re: Der Mathe-Thread
BeitragVerfasst: 03 Apr 2022 00:02 
Offline
Admin-Emu
Benutzeravatar

Registriert: 21 Jun 2004 12:00
Beiträge: 23569
Thorsten hat geschrieben:
Reduzierst du für deine neuen Tätigkeiten die deinem Arbeitgeber vertraglich geschuldete Zeit? Ich meine, sonst bleibt ja irgendwann das Wölkchen beobachten auf der Strecke ;).


Nein, im Moment packe ich das oben drauf. Wegen HomeOffice bin ich ja sehr flexibel und es sind auch nur wenige Stunden.
Mittelfristig würde ich gern ein wenig umsatteln, also weniger normale Erwerbstätigkeit und mehr Schule und Hochschule. Letzteres wird schlechter bezahlt, aber das kann ich verkraften, weil ich ja aus dem gröbsten raus bin. Für die Sachen am Gymi habe ich ja einen Arbeitsvertrag mit dem Land BaWü, zählt also auch für die Rente. Wenn ich letzters ausbauen kann, würde ich sofort Stunden reduzieren.

_________________
Die Muße ist die Schwester der Freiheit.
https://sifiman.kkessler.de


Nach oben
 Profil  
 
 Betreff des Beitrags: Re: Der Mathe-Thread
BeitragVerfasst: 05 Apr 2022 09:31 
Offline
Admin-Emu
Benutzeravatar

Registriert: 21 Jun 2004 12:00
Beiträge: 23569
keko hat geschrieben:
Ich habe mich heute an der Dualen Hochschule in Stuttgart als Lehrbeauftragter beworben. Ein Student erzählte mir kürzlich, dass sie immer "irgendwelche Leute" suchen und da fühlte ich mich direkt angesprochen. :laugh: Beworben habe ich mich für Mathematik (Ana+LA) und Programmierung (C#/.Net). Vorher hatte ich eine mir sehr nahestehenden Person um Rat gefragt, die spontan meinte - ohne dass sie versteht, um was es da genau geht - dass ich das machen könnte. Da ich ihr in solchen Dingen blind vertrauen kann, war das der Startschuß :apanasana


Ich habe eine Einladung von der Hochschule in Stuttgart bekommen. Scheinbar geht es um Analysis (Übungen?).
Würde mich total freuen, wenn ich mit Informatik-Studenten ein bisschen Mathe machen dürfte. Hoffentlich klappt es!! :)

_________________
Die Muße ist die Schwester der Freiheit.
https://sifiman.kkessler.de


Nach oben
 Profil  
 
 Betreff des Beitrags: Re: Der Mathe-Thread
BeitragVerfasst: 11 Apr 2022 16:28 
Offline
Admin-Emu
Benutzeravatar

Registriert: 21 Jun 2004 12:00
Beiträge: 23569
keko hat geschrieben:
...
Ich habe eine Einladung von der Hochschule in Stuttgart bekommen. Scheinbar geht es um Analysis (Übungen?).
Würde mich total freuen, wenn ich mit Informatik-Studenten ein bisschen Mathe machen dürfte. Hoffentlich klappt es!! :)


Sieht gut aus: ab September halte ich wohl eine wöchentliche Analysis-Vorlesung :cheer :bse

_________________
Die Muße ist die Schwester der Freiheit.
https://sifiman.kkessler.de


Nach oben
 Profil  
 
Beiträge der letzten Zeit anzeigen:  Sortiere nach  
Ein neues Thema erstellen Auf das Thema antworten  [ 432 Beiträge ]  Gehe zu Seite Vorherige  1 ... 15, 16, 17, 18, 19, 20, 21 ... 29  Nächste

Alle Zeiten sind UTC + 1 Stunde [ Sommerzeit ]


Wer ist online?

Mitglieder in diesem Forum: 0 Mitglieder und 79 Gäste


Du darfst keine neuen Themen in diesem Forum erstellen.
Du darfst keine Antworten zu Themen in diesem Forum erstellen.
Du darfst deine Beiträge in diesem Forum nicht ändern.
Du darfst deine Beiträge in diesem Forum nicht löschen.
Du darfst keine Dateianhänge in diesem Forum erstellen.

Suche nach:
Gehe zu:  
cron
Impressum  |  Datenschutzerklärung
Powered by php.BB © 2000, 2002, 2005, 2007 php.BB Group
Deutsche Übersetzung durch phpBB.de